Adapun syarat syarat pengajuan pensiun bagi pns asn selengkapnya sebagai berikut. 10 contoh surat permohonan mutasi kerja pns karyawan swasta maupun guru surat permohonan agustus 18 2019 0908 contoh.
16 Contoh Surat Pengunduran Diri Dari Jabatan Lengkap
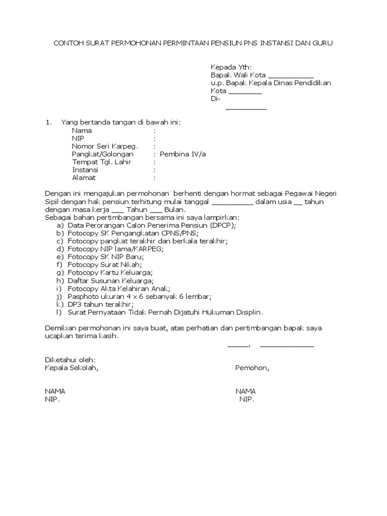
Contoh surat pengantar pensiun pns. 15 contoh surat keputusan yang baik dan paling lengkap dalam suatu instansi perusahaan lembaga organisasi maupun beberapa kelompok lainnya tentu akan pernah menggunakan salah satu contoh surat yang satu ini yakni surat keputusan. Surat pengantar dari ppk instansi masing masing yang ditujukan kepada kepala bkn. Surat permohonan pensiun batas usia pensiun dari ybs. Contoh surat izin nikah dari orang tua untuk anak lampiran 11 kma no477 tahun 2004 pasal 7 ayat 2 huruf e model n 5 sura. Surat lengkap surat ijin surat lamaran kerja perintah resmi permohonan keterangan undangan dinas niaga jalan dukungan pengantar. Berikut data lengkap tentang contoh surat permohonan pensiun.
Surat permohonan kenaikan pangkat pengabdian dan pemberhentian dengan hormat sebagai pegawai negeri sipil dengan hak pensiun. Surat dpcp data calon penerima pensiun pns yang mencapai batas usia pensiun dari ybs diketahui kepala unit kerja fotocopy sk cpns 80 dilegalisir oleh sdm fotocopy sk pns 100 dilegalisir oleh sdm fotocopy sk kenaikan pangkat terakhir dilegalisir oleh sdm. Download contoh surat pengantar berbagai keperluan dinas july 6 2019 by nurul saputro surat pengantar adalah surat yang dibuat guna tujuan agar dapat memberitahukan kepada pihak yang akan dituju bahwasannya hal yang akan dilakukan oleh si pembawa surat telah diketahui dan setujui oleh pihak yang bertanggung jawab. Contoh surat pengantar surat izin keramaian prosedur pembuatan surat ijin keramaian informasi mekanisme penerbitan surat ijin keramaian dasar juklap kapolri no. Surat permohonan permintaan pensiun terbaru dibuat oleh guru pns yang telah habis atau selesai masa baktinya tarpaut batas usia penuh. Jika bapakibu guru pns belum memiliki contoh surat permohonan usulan pensiun terbaru bisa mengunduhnya diakhir postingan.
Contoh surat terlengkap surat ijin surat lamaran kerja perintah resmi permohonan keterangan undangan dinas niaga jalan dukungan pengantar. Jika bapakibu guru pns belum memiliki contoh surat permohonan usulan pensiun terbaru bisa mengunduhnya diakhir postingan. Berikut ini contoh surat pengantar keterangan kehilangan kartu jkn kis yang dikeluarkan oleh pemerintah desa bagi warganya yang kehilangan kartu. Jika bapakibu guru pns belum memiliki contoh surat permohonan usulan pensiun terbaru bisa mengunduhnya diakhir postingan. Surat permohonan permintaan pensiun terbaru dibuat oleh guru pns yang telah habis atau selesai masa baktinya tarpaut batas usia penuh. Sebagi contoh berikut ini tulisan surat permohonan pensiun pns terbaru.
Surat permohonan permintaan pensiun terbaru dibuat oleh guru pns yang telah habis atau selesai masa baktinya tarpaut batas usia penuh. Sebagi contoh berikut ini tulisan surat permohonan pensiun pns terbaru. Surat permohonan kenaikan pangkat pengabdian dan pemberhentian.
















