Membuat surat pernyataan dalam melamar cpns bagi yang belum pernah memang sedikit susah. Berikut merupakan contoh surat lamaran cpns untuk sma sederajat d3 dan sarjana s1.
Contoh Form Surat Lamaran Cpns Agustus 2020 Terbaru Info
Contoh surat lamaran cpns kkp. Contoh surat lamaran kerja cpns terbaru 2015 buat anda yang ingin melamar kerja di cpns maka membuat surat lamaran tidak boleh asal buat saja dan ada setruktur yang harus anda ketahui juga maka dengan ini kami blog contoh surat dan proposal memberikan info ini buat anda semua supaya anda bisa di terima lamaran kerja cpns anda nantinya. Cpns kemenkumham 2019 kemenkumham membuka lowongan cpns 2019 sebanyak 4598 formasi. Format contoh surat lamaran cpns 2019 di kemenkumham kemenag dan kemenlu bisa dilihat di bagian bawah artikel ini. Ada banyak formasi yang dibuka dan tentunya menjadi peluang besar bagi anda yang ingin melamar kerja sebagai cpns. Sedangkan untuk contoh surat lamaran cpns umum anda hanya perlu mengganti beberapa kata dan kop surat. Surat keterangan dokter untuk disabilitas.
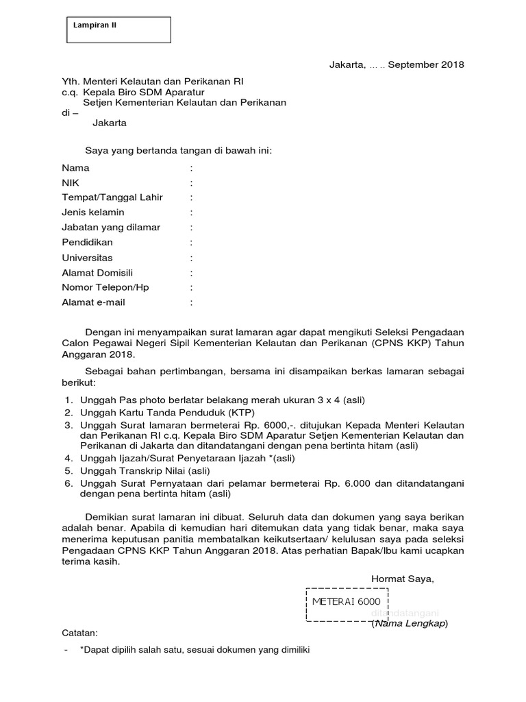
Surat pernyataan dan lamaran termasuk salah satu syarat mendaftar cpns. Nah bagi anda yang sedang membutuhkan referensi tentang bagaiman cara membuat surat pernyataan cpns berikut ini kami sediakan contoh surat pernyataan cpns untuk lulusan sma di salah satu kementerian yang kebetulan di tahun 2018 ini sedang membuka pendaftaran cpns. Format surat lamaran cpns untuk s1. Berikut ini adalah lampiran pelengkap pada saat melakukan pendaftaran cpns kkp silahkan didownload dan disesuaikan dengan kebutuhan anda. Profil jabatan cpns kkp 2018. Sebenarnya calon peserta seleksi cpns juga bisa mengunduh melalui images for contoh surat lamaran cpns 2018.
Daftar online cpns pendaftaran cpns kementerian hukum dan ham terbaru format terbaru contoh surat lamaran slta d3 d3 papua s1 s1 papua di cpns kementerian hukum dan ham tahun 2017 pendaftaran calon pns tahun 2017 sudah dibuka pada hari selasa lalu yaitu instansi kementerian hukum dan ham yang mana membuka penerimaan sebanyak 17962 formasi. Contoh surat lamaran sipir cpns format surat lamaran cpns kemenkumham harus sesuai contoh yang resmi dari instansi yang di lamar. Sebagai orang yang mencari pekerjaan anda akan membutuhkan contoh penulisan amplop surat lamaran kerja yang baik bagaimana format penulisan alamat pada amplop surat lamaran dan sebagainya harus dipahami. Di dalam surat lamaran cpns untuk s1 terdapat beberapa hal yang perlu anda ketahui yaitu. Selain itu berikut ini daftar link format surat lamaran cpns dan berkas lain yang sudah disediakan tiga instansi tersebut. Namun untuk lebih jelasnya saya juga akan membagikan contoh surat lamaran cpns 2018.
Contoh surat lamaran cpns tidak lama lagi pendaftaran cpns akan segera dibuka. Tempat dan tanggal pembuatan surat lamaran. Surat pernyataan cpns kkp 2018. Surat lamaran cpns kkp 2018. Pendaftaran cpns juga tidak terlalu susah karena bisa dilakukan secara online.















